Start Leitlinien >  » Demenz >  Algorithmus 
Demenz Algorithmus

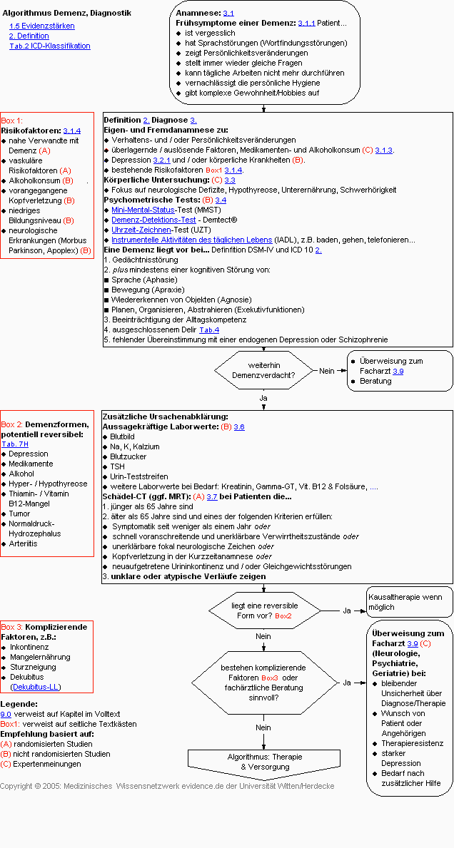
Demenz Diagnose AlgorithmusLaborwerteDefinition der DemenzICD-Klassifikation der DemenzKoerperliche UntersuchungMini-Mental-Status-TestEinteilung der EvidenzstaerkenDem-TecClock-Drawing -TestIADLTestDelirDefinitionComputertomografie (CT) und andere bildgebende VerfahrenDemenzformen potentiell reversibelUeberweisung und ExpertenratDekubitus-LeitlinieCopyrightAnamneseAnamnese: FruehsymptomeAusloesende FaktorenRisikofaktoren DemenzDepression / DemenzRisikofaktorenLeistungstestÜberweisung und Expertenrat

Diesen Algorithmus als .pdf-Datei abrufen. Zum Ausdrucken

 

Demenz Therapie AlgorithmusDefinitionDefinitionInformationsaustauschDemenz und StrassenverkehrPatientenleitlinie DemenzPflege und Betreuung bei DemenzTherapie bei Agitation / PsychoseTherapie bei Agitation / PsychoseTherapie bei SchlafstoerungTherapie bei  SchlafstoerungTherapie bei DepressionTherapie bei  DepressionNichtmedikamentöse Therapien bei DemenzUrsachen für eine irreversible DemenzUrsachen für eine potentiell reversible DemenzPatientenleitlinie DemenzBegleitsymptomatikFacharzt-KonsilNichtmedikamentöse Therapien bei Demenzweitere...Medikamentoese TherapieKriterien der Europäischen UnionDonepezilGalantaminRivastigminMemantineKriterien für den EinsatzASSClopidogrelMedikamentöse Therapie der vaskulären Demenz Aktuelle Diskussion CHEHArgumente für CHEHArgumente gegen CHEHCHEH Therapie sinnvollCHEH-Therapie sollte beendet werdenFortsetzung CHEH-Therapie

Diesen Algorithmus als .pdf-Datei abrufen. Zum Ausdrucken

 

[Start Leitlinien] [» Asthma] [» Kopfschmerzen] [» Hypertonie] [» Otitis media] [» Gallensteine] [» Herzinsuffizienz] [» Demenz] [Algorithmus] [Haupttext] [Hintergründe] [Referenzen] [Patientenleitlinie] [Impressum / ©] [» Harnwegsinfekt] [» KR-Karzinom] [» Dekubitus] [Ihre Meinung?] [Interne Infos]

Eine Aktualisierung dieser Leitlinien ist nicht geplant (Stand September 2007)

 

 

® Medizinisches Wissensnetzwerk evidence.de der Universität Witten/Herdecke Patienten...

Update:03/09/09

webmaster: www.ju-ko.de